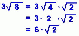
![]() page five Here's a mixed radical: ![]() It can still be simplified, since the square root of 8 can be broken up: ![]() Notice that the '3' that was already there just stays in front, while the root gets broken up. Now we're going to evaluate the square root of 4: ![]() The final step is to combine the two whole numbers: ![]() O.K., we're almost done. Let's see if you've got it ... |