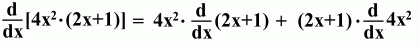
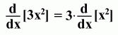
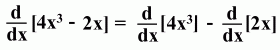
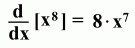
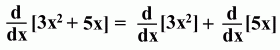
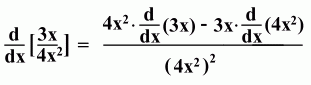
![]() Differentiation in mathematics is the process you use to find the rate at which a quantity changes with respect to something else. The rules for differentiating algebraic functions or combinations of functions are described below, along with an example of each. Following standard practice, we'll use c as a constant, n as any Real number, u and v as functions of x, and y as a function of u. The Constant Rule ![]() Here's an example: ![]() The Constant Multiple Rule ![]() Here's an example: ![]() The Sum Rule ![]() Here's an example: ![]() The Difference Rule ![]() Here's an example: ![]() The Product Rule ![]() Here's an example: ![]() The Quotient Rule ![]() Here's an example: ![]() The Power Rule ![]() Here's an example: ![]() The Chain Rule ![]() Here's an example: ![]() You probably noticed that we didn't finish simplifying some of our examples above. If you'd like to see some examples that are completely finished, go on to page two. |