Practice Page 2

Here are some more challenging examples, where many rules are used.


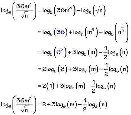
First, use the quotient rule.


Next, use the product rule, and change
the root to an exponent.

Change 36 to a power of 6, and use the power rule on the next two terms ...

... and again on the first term.

Finally, evaluate the log in the first term.



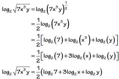
Working from the outside in, first change the root to an exponent.

Now use the power rule.

Using the product rule, place the three arguments in a bracket, as all will have to be multiplied by one half. But first use the power rule on the middle term.

Here we left the 'one half' unmultiplied.



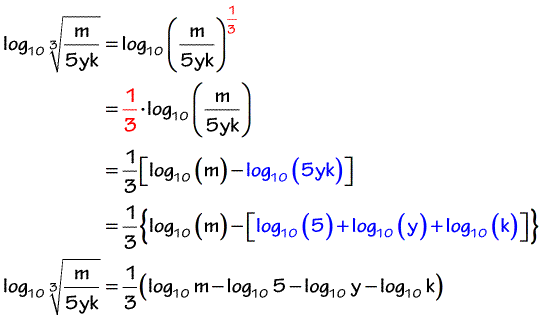
Sometimes the need for brackets can make the question much harder:
Here the base 10 on the log was shown.


First change
the root to an exponent.

Then use the power rule.

Use the quotient rule, but add brackets because of the 'one third'.

Use the product rule on the second term, adding more brackets because of the '-'.
Simplify. Again, the one third was left out front.




 INTRO |   RULE 1: Product Rule   |   RULE 2: Quotient Rule   |   RULE 3: Power Rule   |   RULE 4: loga1
RULE 5: logkk   |   RULE 6: logkkn   |   RULE 7: blogbk   |   PRACTICE 1   |   PRACTICE 2



Resources


Content, HTML, graphics & design by Bill Willis 2023