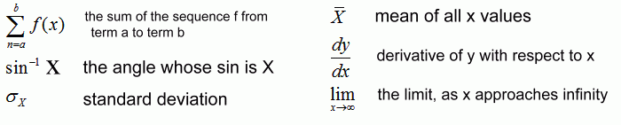
Here is a list of many of the symbols commonly used in high school mathematics.



 


 
 


 
 


Main Page