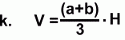
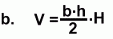
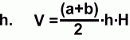
This page contains a quiz based on the volume formulas used in Mathematics 9. For each figure named, you must enter the correct letter of the matching volume formula. If you first click on the object's name, you can see its diagram. Be sure to close each pop-up window before answering the question. If you forget, use the ALT-TAB keys to bring it to the front. Three formulas aren't used.


Cone


Rectangular Pyramid


Cylinder


Trapezoidal Prism


Hexagonal Prism


Triangular Prism


Rectangular Prism


Triangular Pyramid














Check your answers


Resources